What is the utilization of my portfolio right now?
Is a tenant in need of a bigger space, or already thinking of moving to a smaller one?
How is this particular building used on Tuesday mornings compared to Fridays?
Are we at the new post-pandemic normal yet?
Presence and utilization cut to the core of a property owner’s business
High or increasing utilization means healthy long-term prospects while low or decreasing utilization could spell bad news.
To understand presence and utilization on both a high and a detailed level, we developed the Utilize app and the Utilize Index. We arrived at three simple core principles
- Use RealEstateCore to translate different kinds of sensors to a common metric for presence
- Calculate a baseline for each sensor so that they can be normalized
- Anchor all sensors’ baseline to the same period of normal behaviour

An index where 100 is the normal utilization
With those principles, we can have all sensors produce the Utilize index – an index where 100 is the average utilization during a normal period – over all days of the week and all hours of the day. The Utilize index can answer the questions from the beginning and many more, using the already installed sensors from HVAC, lighting and IoT systems.
Quantified trends and long term changes
Taking the average index for a period of a week or more will indicate trends and direction. If we choose to set the baseline period in pre-pandemic times (which we encourage), then we will all be very glad to see weekly averages inch back to 100 – back to pre-pandemic normal. If a part of your portfolio has an average index of 100, it has the same utilization (or “people load” or “presence level”) as during the baseline period. If a building had an average of index 75 this week and 50 last week, it had a 50% increase in utilization.
Understand usage patterns
Taking the index value for a short period of time will indicate daily and weekly cycles, and deviations from the typical usage pattern. If the coworking areas average index 125 on Fridays at 15:00, that is 25% higher use than the overall weekly average. However, if on Monday afternoons they average 250, it is not only 2.5 times the weekly average, but twice the demand of Friday afternoons. If the index value for a building so far today is 80, but the typical average for this day of the week and time of day is 160, then with only half of normal utilization the building should probably not have the normal ventilation setting, staffing and maintenance schedule.
No new investments – Use sensors that are installed already
Many buildings already have presence sensing incorporated in their HVAC, lighting or access system. Similarly, many IoT or proptech projects result in installing presence sensors even if it is a secondary feature of installed devices. As a result, it is not uncommon that modern buildings have up to five different sets of presence sensors, and in a whole portfolio, there are likely tens of different kinds of presence sensors. We made the Utilize app to use all existing presence sensors, and all presence sensors that will be installed in the coming years to empower business processes and applications with long term empirical findings and real-time behaviour data, so that we can stop relying on guesswork, estimations or plain dumb guesses about what tenants do and need.
A common metric for presence
In essence there are two categories of presence sensors.
- Sensors measuring presence as a scalar
(“number of people”, “amount of presence” or “amount of activity”) - Sensors measuring presence as a binary
(“no presence”/“some presence”, zero/one, false/true)
To understand how we will combine these, consider occupancy as measured for a hotel with 100 rooms, or occupancy as measured by someone with a single cabin.
- If the hotel on average has 77 rooms occupied, it has a full occupancy rate of 77%
- If the cabin has a 77% probability of being occupied, it has a full occupancy rate of 77%
Both the hotel with a number of rooms occupied and the single cabin with its binary full/empty can be described using the full occupancy rate.
Similarly, the Utilize common presence rate can be applied to both sensors measuring the amount of presence and sensors measuring a binary presence/no presence.
Normalize with Baselines
For presence sensors as opposed to a hotel or cabin, there might not be any “full” value to divide by. Instead, we divide by a baseline value from the same period for all sensors.
The result is the Utilize Index, where 100 represents normal utilization (equal to the utilization of the baseline period). With the same baseline period, the Utilize Index can be combined, aggregated and compared across sensors.
Index 100 means normal average, not full
At times during the day the peak utilization is larger than the overall weekly average, and at times like nights and weekends the utilization is far lower than the weekly average. See below an example from an office building’s Utilize Index over a 2 week period. The hourly index peaks at 389 before lunch on March 5, but is virtually 0 on nights and barely above 25 on weekend days. The average 7-day index is around 100, so with its high peaks and low valleys the building utilization is at its normal level.

People counting has shown that for the particular building in the example, full occupancy is equivalent to index 700, meaning that during the period above, at most the building was just above half full. (And that on average it is 1/7 full). To read more about how Utilize Index can be used to understand “full” occupancy, please see our follow-up post about Relative and Absolute occupancy.
From sensors to presence to Index:
1. Calculate Presence
- For amount of presence sensors (“number of people”, “amount of presence” or “amount of activity”):

2. For binary presence/no presence sensors:

2. Calculate baseline Presence
For baseline period T0, P0= PT0
3. Calculate Utilize Index

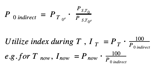
Indirect baseline
As it happens, not all sensors were installed during the baseline period and new sensors will probably be added at least every week. Does it mean that the new sensors must be excluded, or that the baseline period must be moved each time a new sensor is added? Not at all. With an indirect baseline, we get a comparable index from sensors even if they are installed long after the baseline period.
The indirect baseline P0 indirect uses
- the proper baseline period T0 (“T zero”)
- an indirect baseline period T0’’ (“T zero prime”)
- presence for the sensor during the indirect baseline period (PT0’’)
- presence for a set of baseline sensors S during the proper baseline period (PS,T 0)
- presence for a set of baseline sensors during the indirect baseline period (PS,T 0‘).

With the Utilize index, you can keep track of the long-term health of your business, see how individual tenants are utilizing their spaces and understand the usage patterns of individual rooms or an entire building or region. The Utilize app was launched in September 2021 and lets you take full advantage of the innovation of the Utilize index and all the presence sensors you have already. Sign up to start using Utilize and ProptechOS.
Read more about utilization in the article series:
- How many sensors are enough to run Utilize? (to be published)
- Utilize and absolute occupancy (to be published)